基本信息:
中文名稱 6-(4-嗎啉)-1H-嘌呤
英文名稱 4-(7H-purin-6-yl)morpholine
英文別名 4-(9h-purin-6-yl)morpholine;6-Morpholinopurine;6-(morpholin-1-yl)-9H-purine;2wmu;6-morpholin-4-yl-7(9)H-purine;4-purin-6-ylmorpholine;6-(morpholin-4-yl)-9H-purine;6-Morpholino-9H-purine;
CAS號 2846-96-0
合成路線:
1.通過嗎啉和6-甲巰基嘌呤合成6-(4-嗎啉)-1H-嘌呤

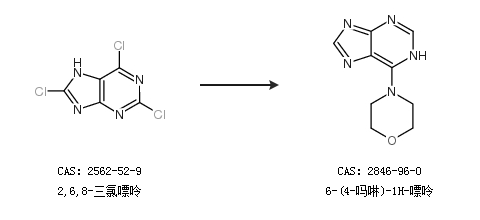
2.通過2,6,8-三氯嘌呤合成6-(4-嗎啉)-1H-嘌呤

中華試劑網提醒:合成路線僅供參考