基本信息:
中文名稱 6-氯-2,4-二硝基苯酚
中文別名 2-氯-4,6-二硝基酚;
英文名稱 2-chloro-4,6-dinitrophenol
英文別名 2-chloro-4,6-dinitro-phenol;6-Chlor-2.4-dinitro-1-hydroxy-benzol;2-Chlor-4,6-dinitro-phenol;Phenol,2-chloro-4,6-dinitro;USAF DO-60;EINECS 213-419-0;2,4-Dinitro-6-chlorophenol;6-chloro-2,4-dinitrophenol;2-Cl-4,6-DNP;
CAS號 946-31-6
合成路線:
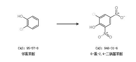
1.通過鄰氯苯酚合成6-氯-2,4-二硝基苯酚

2.通過2,4,6-三硝基氯苯合成6-氯-2,4-二硝基苯酚,收率約32%;

中華試劑網(wǎng)提醒:合成路線僅供參考