基本信息:
中文名稱 6-氯-2-甲基煙酸甲酯
英文名稱 Methyl 6-chloro-2-methylnicotinate
英文別名 methyl 6-chloro-2H-1-benzopyran-3-carboxylate;methyl 6-chloro-2-hydroxy-3,4-dihydro-1-naphthoate;6-CHLORO-2H-CHROMENE-3-CARBOXYLIC ACID METHYL ESTER;methylchlorochromenecarboxylate;methyl 6-chloro-2-methylpyridine-3-carboxylate;
CAS號 851759-19-8
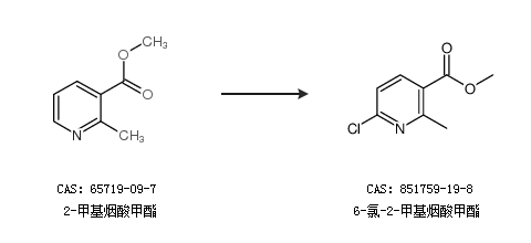
合成路線:
1.通過2-甲基煙酸甲酯合成6-氯-2-甲基煙酸甲酯

中華試劑網(wǎng)提醒:合成路線僅供參考