基本信息:
中文名稱(chēng) 6-氯己酸甲酯
英文名稱(chēng) methyl 6-chlorohexanoate
英文別名 6-chloro-1-hexanoic acid methyl ester;Hexanoic acid,6-chloro-,methyl ester;6-Chlorhexansaeure-methylester;6-chloro-hexanoic acid methyl ester;
CAS號(hào) 14273-89-3
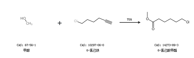
合成路線:
1.通過(guò)甲醇和6-氯己炔合成6-氯己酸甲酯,收率約75%;

2.通過(guò)甲醇和6-氯-1-己醇合成6-氯己酸甲酯,收率約78%;

中華試劑網(wǎng)提醒:合成路線僅供參考