基本信息:
中文名稱 7-氯-1-庚醇
中文別名 7-氯庚-1-醇;
英文名稱 7-chloroheptan-1-ol
英文別名 7-Chloro-1-heptanol;7-chloroheptyl alcohol;7-chloro-heptan-1-ol;1-Heptanol,7-chloro;1-chloro-7-heptanol;7-chloroheptanol;heptamethylene chlorohydrin;
CAS號(hào) 55944-70-2
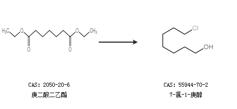
合成路線:
1.通過1,7-庚二醇合成7-氯-1-庚醇,收率約84%;

2.通過庚二酸二乙酯合成7-氯-1-庚醇

中華試劑網(wǎng)提醒:合成路線僅供參考