基本信息:
中文名稱 8-氧代-5,6,7,8-四氫喹啉-2-羧酸
英文名稱 8-oxo-6,7-dihydro-5H-quinoline-2-carboxylic acid
英文別名 6,7-dihydro-8(5H)-quinolinone-2-carboxylic acid;8-Oxo-5,6,7,8-tetrahydroquinoline-2-carboxylic acid;
CAS號(hào) 238755-39-0
合成路線:
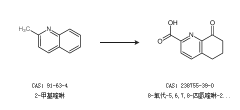
1.通過(guò)2-甲基喹啉合成8-氧代-5,6,7,8-四氫喹啉-2-羧酸

2.通過(guò)5,6,7,8-四氫-2-甲基喹啉合成8-氧代-5,6,7,8-四氫喹啉-2-羧酸

中華試劑網(wǎng)提醒:合成路線僅供參考