基本信息:
中文名稱 Cbz-環(huán)己基-L-甘氨酸
中文別名 CBZ-L-環(huán)己基甘氨酸;N-芐氧羰基-環(huán)己基-L-甘氨酸;(S)-CBZ-環(huán)己基甘氨酸;N-芐氧羰基-環(huán);N-CBZ-L-環(huán)己基甘氨酸;
英文名稱 (S)-2-(((Benzyloxy)carbonyl)amino)-2-cyclohexylacetic acid
英文別名 (2S)-2-cyclohexyl-2-(phenylmethoxycarbonylamino)acetic acid;
CAS號 69901-75-3
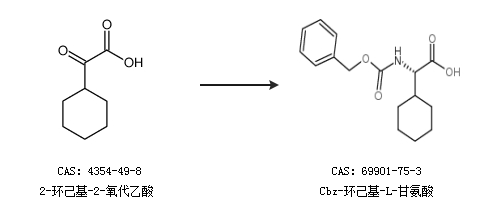
合成路線:
1.通過L-環(huán)己基甘氨酸和氯甲酸芐酯合成Cbz-環(huán)己基-L-甘氨酸,收率約89%;

2.通過2-環(huán)己基-2-氧代乙酸合成Cbz-環(huán)己基-L-甘氨酸

中華試劑網(wǎng)提醒:合成路線僅供參考