基本信息:
中文名稱 DL-Alpha-羥基己酸
中文別名 2-羥基己酸;
英文名稱 2-hydroxyhexanoic acid
英文別名 2-hydroxycaproic acid;glycolic acid N-phenylamide;N-Phenyl-2-hydroxyacetamide;A-3-Hydroxyacetanilide;Glycolanilide;2-hydroxyacetanilide;hydroxypercaproic acid;hydroxyhexanoic acid;HOCH2CONHPh;hydroxyacetanilide;Hydroxyacetylaminobenzene;DL-2-hydroxycaproic acid;
CAS號(hào) 6064-63-7
合成路線:
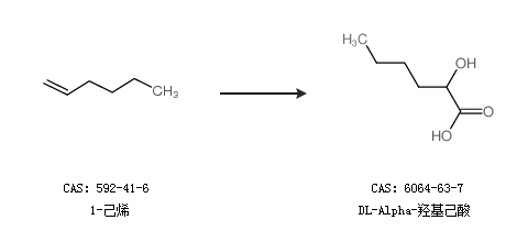
1.通過1-己烯合成DL-Alpha-羥基己酸

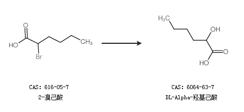
2.通過2-溴己酸合成DL-Alpha-羥基己酸

中華試劑網(wǎng)提醒:合成路線僅供參考