基本信息:
中文名稱 N-(2-boc-氨基乙基)-4-溴苯磺酰胺
中文別名 2-(4-溴苯基磺酰氨基)乙基氨基甲酸叔丁酯;
英文名稱 t-Butyl 2-(4-bromophenylsulfonamido)ethylcarbamate
英文別名 tert-butyl N-[2-[(4-bromophenyl)sulfonylamino]ethyl]carbamate;
CAS號 310480-85-4
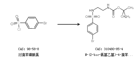
合成路線:
1.通過N-叔丁氧羰基-1,2-乙二胺和對溴苯磺酰氯合成N-(2-boc-氨基乙基)-4-溴苯磺酰胺,收率約99%;

2.通過對溴苯磺酰氯合成N-(2-boc-氨基乙基)-4-溴苯磺酰胺

中華試劑網(wǎng)提醒:合成路線僅供參考