基本信息:
中文名稱 N-Boc-1H-吡唑-1-甲脒
中文別名 N-(叔丁氧基羰基)-1H-吡唑-1-羧酰胺;N-Boc-吡唑-1-甲脒;N-BOC-吡唑-1-甲脒;1-[N-(叔丁氧羰基)甲脒基]吡唑;N-(叔丁氧羰基)-1H-吡唑-1-甲脒;1-(N-Boc-甲脒基)吡唑;單BOC脒 N-BOC-1H-吡唑-1-甲脒;
英文名稱 N-Boc-1H-pyrazole-1-carboxamidine
英文別名 N-(Tert-Butoxycarbonyl)-1 H-Pyrazole-1-Carboxamidine;1-[N-(tert-Butoxycarbonyl)carbamimidoyl]pyrazole;N-Boc-1H-pyrazole-1-Carboxamidine;N-Boc-1H-pyrazole-1-carboximidamide;1-[N-(tert-Butoxycarbonyl)amidino]pyrazole;1-(N-Boc-amidino)pyrazole;N-(tert-Butoxycarbonyl)-1H-pyrazole-1-carboximidamide;N-(tert-Butoxycarbonyl)-1H-pyrazole-1-carboxamidine;N-Boc-1-Guanylpyrazole;1-(N-Boc-carbamimidoyl)pyrazole;
CAS號(hào) 152120-61-1
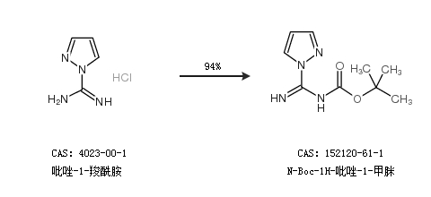
合成路線:
1.通過(guò)1H-吡唑-1-甲脒鹽酸鹽合成N-Boc-1H-吡唑-1-甲脒,收率約99%;

2.通過(guò)吡唑-1-羧酰胺合成N-Boc-1H-吡唑-1-甲脒,收率約94%;

中華試劑網(wǎng)提醒:合成路線僅供參考