基本信息:
中文名稱 N-乙基-3-羥基哌啶
中文別名 1-乙基-3-哌啶醇;1-乙基-3-羥基哌啶;
英文名稱 1-ETHYL-3-HYDROXYPIPERIDINE
英文別名 1-ethylpiperidin-3-ol;1-Ethylpiperidin-3-ol;1-Ethyl-3-hydroxypiperidine;1-Ethyl-3-piperidinol;
CAS號 13444-24-1
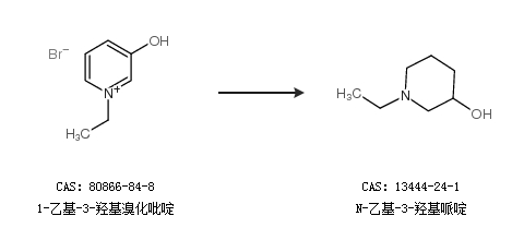
合成路線:
1.通過1-乙基哌啶-3-酮合成N-乙基-3-羥基哌啶

2.通過1-乙基-3-羥基溴化吡啶合成N-乙基-3-羥基哌啶

中華試劑網(wǎng)提醒:合成路線僅供參考