基本信息:
中文名稱 Z-PHE-GLY-GLY-OH
英文名稱 2-[[2-[[3-phenyl-2-(phenylmethoxycarbonylamino)propanoyl]amino]acetyl]amino]acetic acid
英文別名 N-benzyloxycarbonyl-L-phenylalanylglycylglycine;Z-Phe-Gly-Gly-OH;
CAS號(hào) 37700-64-4
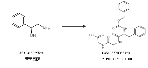
合成路線:
1.通過雙甘肽合成Z-PHE-GLY-GLY-OH,收率約10%;

2.通過L-苯丙氨醇合成Z-PHE-GLY-GLY-OH

中華試劑網(wǎng)提醒:合成路線僅供參考