基本信息:
中文名稱 苯基腈乙基硫醚
中文別名 苯硫基乙腈;(苯硫基)乙腈;
英文名稱 (Phenylthio)acetonitrile
英文別名 2-phenylsulfanylacetonitrile;(Phenylthio)Acetonitrile;Phenylthioacetonitrile;
CAS號(hào) 5219-61-4
合成路線:
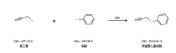
1.通過(guò)氯乙腈和硫酚合成苯基腈乙基硫醚,收率約95%;

2.通過(guò)氯乙腈和二苯二硫醚合成苯基腈乙基硫醚,收率約89%;

中華試劑網(wǎng)提醒:合成路線僅供參考