基本信息:
中文名稱(chēng) 苯基異丙基硫醚
中文別名 2-異丙基苯基苯硫醚;異丙基苯硫醚;
英文名稱(chēng) propan-2-ylsulfanylbenzene
英文別名 Isopropyl phenyl sulphide;phenyl isopropyl sulfide;i-propyl phenyl sulfide;Sulfide,isopropyl phenyl;Isopropyl phenyl sulfide;ISOPROPYLTHIOBENZENE;
CAS號(hào) 3019-20-3
合成路線:
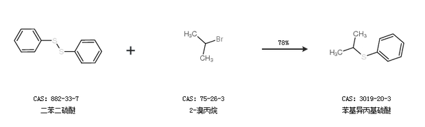
1.通過(guò)二苯二硫醚和2-溴丙烷合成苯基異丙基硫醚,收率約78%;

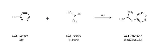
2.通過(guò)硫酚和2-溴丙烷合成苯基異丙基硫醚,收率約95%;

中華試劑網(wǎng)提醒:合成路線僅供參考