基本信息:
中文名稱 丙酸-2-苯乙酯
中文別名 2-苯基乙基丙酸酯;2-苯乙基丙酸酯;丙酸苯乙酯;
英文名稱 2-Phenylethyl Propionate
英文別名 Propionic Acid Phenethyl Ester;2-Phenylethyl propionate;Phenethyl Propionate;Phenylethanol propanoate;2-phenylethyl propanoate;Propionic Acid 2-Phenylethyl Ester;
CAS號(hào) 122-70-3
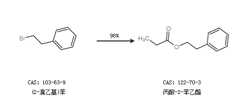
合成路線:
1.通過(guò)(2-溴乙基)苯合成丙酸-2-苯乙酯,收率約98%;

2.通過(guò)苯乙醇和丙醛合成丙酸-2-苯乙酯,收率約89%;

中華試劑網(wǎng)提醒:合成路線僅供參考