基本信息:
中文名稱 環(huán)丙基萘啶羧酸
中文別名 環(huán)丙萘啶羧酸;1-環(huán)丙基-6-氟-7-氯-4-氧-1,4-二氫-1,8-萘啶-3-羧酸;1-環(huán)丙基-4-氧代-6-氟-7-氯-1,4-二氫-1,8-萘啶-3-甲酸;
英文名稱 7-Chloro-1-Cyclopropyl-6-Fluoro-4-Oxo-1,4-Dihydro-1,8-Naphthyridine-3-Carboxylic Acid
英文別名 7-Chloro-1-cyclopropyl-6-fluoro-4-oxo-1,4-dihydro-[1,8]naphthyridine-3-carboxylic Acid;7-Chloro-1-cyclopropyl-6-fluoro-4-oxo-1,4-dihydro-1,8-naphthyridine-3-carboxylic acid;1-Cyclopropyl-6-fluoro-7-chloro-4-oxo-1,4-dihydro-1,8-naphthyridine-3-carboxylic acid;
CAS號(hào) 100361-18-0
合成路線:
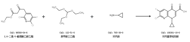
1.通過2,6-二氯-5-氟煙酰乙酸乙酯合成環(huán)丙基萘啶羧酸

2.通過2,6-二氯-5-氟煙酰乙酸乙酯、原甲酸三乙酯和環(huán)丙胺合成環(huán)丙基萘啶羧酸

中華試劑網(wǎng)提醒:合成路線僅供參考