基本信息:
中文名稱 嘧霉胺
中文別名 施佳樂;N-(4,6-二甲基嘧啶-2-基)苯胺;4,6-二甲基-N-苯基-2-嘧啶胺;2-苯胺-4,6-二甲基嘧啶;嘧螨醚;棉胺寧;
英文名稱 pyrimethanil
英文別名 2-anilino-4,6-dimethylpyrimidine;Pyrimethanil;2-Pyrimidinamine,4,6-dimethyl-N-phenyl;4,6-dimethyl-N-phenylpyrimidin-2-amine;2-Anilino-4,6-dimethylpyrimidine;4,6-dimethylpyrimidine-N-phenylimine;N-(4,6-dimethylpyrimidin-2-yl)aniline;4,6-Dimethyl-N-phenyl-2-pyrimidinamine;4,6-dimethyl-N-phenyl-2-pyrimidinamine;4,6-dimethyl-n-phenyl-2-pyrimidinamin;
CAS號 53112-28-0
合成路線:
1.通過單氰胺和乙酰丙酮合成嘧霉胺,收率約79%;

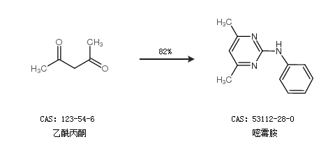
2.通過乙酰丙酮合成嘧霉胺,收率約82%;

中華試劑網(wǎng)提醒:合成路線僅供參考