基本信息:
中文名稱 萘亞胺
中文別名 1,8-萘二甲酰亞胺;1,8-萘酰亞胺;
英文名稱 1,8-Naphthalimide
英文別名 1,8-NAPHTHALIC ACID AMIDE;1,8-NAPHTHALENEDICARBOXIMIDE;Naphthalene-1,8-dicarbimide;1H-benzo[de]isoquinoline-1,3(2H)-dione;NAPHTHALIMIDE;Naphthalic acid imide;1H-Benz[de]isoquinoline-1,3(2H)-dione;1H-Benz[de]isoquinoline-1,3;benzo[de]isoquinoline-1,3-dione;1,8-Naphthalenediformylimine;
CAS號 81-83-4
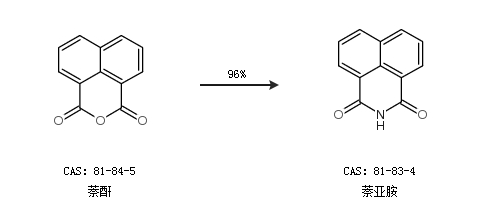
合成路線:
1.通過萘酐合成萘亞胺,收率約96%;

2.通過三甲基硅基異氰酸酯和1-萘甲酰氯合成萘亞胺,收率約57%;

中華試劑網(wǎng)提醒:合成路線僅供參考