基本信息:
中文名稱 胸苷酸二鈉
中文別名 胸苷5''-單磷酸鹽二鈉鹽水合物;2''-脫氧胸苷-5''-單磷酸二鈉鹽;2''-脫氧胸苷單磷酸二鈉鹽;2′-脫氧胸苷-5′-單磷酸二鈉鹽;胸苷5''-單磷酸鹽二鈉鹽水合物;2''-脫氧胸苷-5''-單磷酸二鈉;胸苷5-單磷酸酯二鈉鹽水合物;
英文名稱 Thymidine-5''-monophosphate disodium salt
英文別名 TMP disodium;DTMP;Thymidine 5''- monophosphate,disodium salt;dTMP.Na2;2''-deoxythymidine-5''-phosphate disodium salt;dTMP disodium salt;5''-Thymidylic Acid Disodium Salt;dTMP 2Na Hydrate;TMP DISODIUM SALT;THYMIDYLIC ACID DISODIUM SALT;T-5''-P SODIUM SALT;TMP SODIUM SALT;DTMP 2NA;5''-Thymidylic Acid Disodium Salt Hydrate;thymidine 5''-monophosphate,disodium salt;THYMIDYLIC ACID [5''] SODIUM SALT;5''-THYMIDYLIC ACID DISODIUM SALT;Thymidine 5''-Monophosphate Disodium Salt Hydrate;
CAS號 33430-62-5
合成路線:
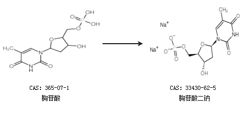
1.通過胸苷酸合成胸苷酸二鈉

中華試劑網(wǎng)提醒:合成路線僅供參考