基本信息:
中文名稱 1,8-二甲基喹啉-2(1h)-酮
英文名稱 1,8-dimethylquinolin-2-one
英文別名 1,8-dimethyl-1H-quinolin-2-one;1,8-dimethyl-2-quinolone;1,8-dimethylcarbostyril;1,8-Dimethyl-1H-chinolin-2-on;1,8-dimethyl-1,2-dihydroquinolin-2-one;
CAS號(hào) 35359-35-4
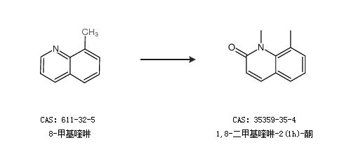
合成路線:
1.通過(guò)8-甲基喹啉和硫酸二甲酯合成1,8-二甲基喹啉-2(1h)-酮,收率約84%;

2.通過(guò)8-甲基喹啉合成1,8-二甲基喹啉-2(1h)-酮

中華試劑網(wǎng)提醒:合成路線僅供參考