基本信息:
中文名稱 N -亞硝基- L -脯氨酸
中文別名 N-亞硝基-l-脯氨酸;
英文名稱 N-NITROSO-L-PROLINE
英文別名 nitrosoproline;no-pro;1-nitroso-l-proline;L-nitrosoproline;1-Nitrosoproline;(S)-1-nitrosopyrrolidine-2-carboxylic acid;L-Proline,1-nitroso;(2S)-1-nitrosoproline;L-Proline,nitroso;N-NITROSO-PROLINE;NPRO;
CAS號(hào) 7519-36-0
合成路線:
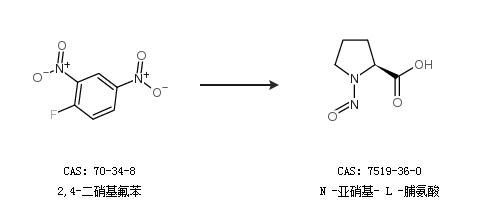
1.通過2,4-二硝基氟苯合成N -亞硝基- L -脯氨酸

中華試劑網(wǎng)提醒:合成路線僅供參考