基本信息:
中文名稱 3-溴吲唑-5-羧酸甲酯
中文別名 3-溴-1H-吲唑-5-甲酸甲酯;
英文名稱 methyl 3-bromo-2H-indazole-5-carboxylate
英文別名 SC4424;methyl 3-bromo-1H-indazole-5-carboxylate;3-Bromo-4-(1H)indazole carboxylic acid methyl ester;METHYL 3-BROMOINDAZOLE-5-CARBOXYLATE;Methyl 3-bromoindazole-5-carboxylate;
CAS號(hào) 1086391-06-1
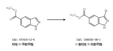
合成路線:
1.通過吲唑-5-甲酸甲酯合成3-溴吲唑-5-羧酸甲酯

2.通過1H-吲唑-5-羧酸合成3-溴吲唑-5-羧酸甲酯

中華試劑網(wǎng)提醒:合成路線僅供參考