基本信息:
中文名稱 2,7-二溴-9,9''-螺二芴
中文別名 2,7-二溴-9,9-螺二芴;2,7-二溴-9,9''-螺二[9H-芴];2,7-二溴-9,9’-螺二芴;
英文名稱 2,7-Dibromo-9,9-Spiro-Bifluorene
英文別名 2,7-Dibromo-9,9-spiro-bifluorene;2,7-DibroMo-9,9''-spirobi[9H-fluorene];2,7-Dibromo-9,9''-spirobifluorene;2,7-Dibromo-9,9′-spirobifluorene;2'',7''-dibromo-9,9''-spirobi[fluorene];2,7-Dibromo-9,9''-spiro-bifluorene;
CAS號(hào) 171408-84-7
合成路線:
1.通過2,7-二溴-9-芴酮合成2,7-二溴-9,9''-螺二芴

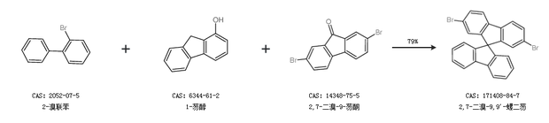
2.通過2-溴聯(lián)苯、1-芴醇和2,7-二溴-9-芴酮合成2,7-二溴-9,9''-螺二芴,收率約79%;

合成路線僅供參考