基本信息:
中文名稱 4-(Cbz-氨基)四氫吡喃-4-羧酸
中文別名 4-(CBZ-氨基)四氫吡喃-4-甲酸;
英文名稱 4-(phenylmethoxycarbonylamino)oxane-4-carboxylic acid
英文別名 4-Cbz-amino-4-tetrahydropyrancarboxylic acid;4-benzyloxycarbonylamino-tetrahydro-pyran-4-carboxylic acid;4-N-CBZ-AMINO-4-TETRAHYDROPYRANCARBOXYLIC ACID;
CAS號(hào) 138402-13-8
合成路線:
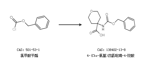
1.通過氯甲酸芐酯合成4-(Cbz-氨基)四氫吡喃-4-羧酸

2.通過氯甲酸芐酯合成4-(Cbz-氨基)四氫吡喃-4-羧酸

中華試劑網(wǎng)提醒 合成路線僅供參考