基本信息:
中文名稱 2-乙基-5-硝基苯并噁唑
英文名稱 2-Ethyl-5-nitro-1,3-benzoxazole
英文別名 2-ethyl-5-nitrobenzoxazole;2-Ethyl-5-nitrobenzo[d]oxazole;
CAS號(hào) 204771-74-4
合成路線:
1.通過(guò)2-氨基-4-硝基苯酚合成2-乙基-5-硝基苯并噁唑,收率約90%;

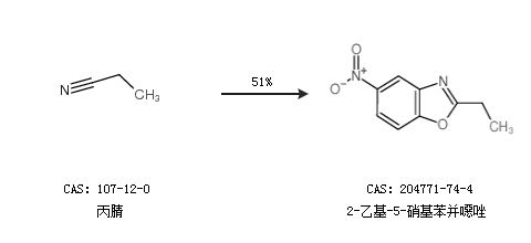
2.通過(guò)丙腈合成2-乙基-5-硝基苯并噁唑,收率約51%;

中華試劑網(wǎng)提醒:合成路線僅供參考