基本信息:
中文名稱 2,7-二溴-9-辛基-9h-咔唑
英文名稱 2,7-dibromo-9-octylcarbazole
英文別名 2,5-DIMETHYL-7,7,8,8-TETRACYANOQUINODIMETHANE;N-octyl-2,7-dibromocarbazole;2,7-dibromo-9-octyl-9H-carbazole;
CAS號(hào) 726169-75-1
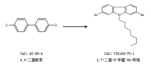
合成路線:
1.通過(guò)溴辛烷和2,7-二溴咔唑合成2,7-二溴-9-辛基-9h-咔唑,收率約84%;

2.通過(guò)4,4-二溴聯(lián)苯合成2,7-二溴-9-辛基-9h-咔唑

中華試劑網(wǎng)提醒:合成路線僅供參考