基本信息:
中文名稱(chēng) 2,7-二溴-9-(1-辛基壬基)-9H-咔唑
英文名稱(chēng) 2,7-dibromo-9-heptadecan-9-ylcarbazole
英文別名 N-9''-heptadecanyl-2,7-dibromocarbazole;N-9''-heptadecyl-2,7-dibromocarbazole;2,5-DIMETHYL-6-METHOXYBENZOSELENAZOLE;
CAS號(hào) 955964-73-5
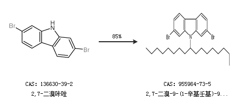
合成路線:
1.通過(guò)2,7-二溴咔唑合成2,7-二溴-9-(1-辛基壬基)-9H-咔唑,收率約85%;

2.通過(guò)正辛基鎂溴鹽合成2,7-二溴-9-(1-辛基壬基)-9H-咔唑

合成路線僅供參考