基本信息:
中文名稱 2-乙?;拎?br>中文別名 乙酰吡嗪;乙酰吡嗪;1-乙酰基吡嗪;乙?;拎?2-乙酰吡嗪;乙酰-1,4-二嗪;
英文名稱 1-pyrazin-2-ylethanone
英文別名 Methyl pyrazinyl ketone;2-Acetylpyrazine;Ketone,methyl pyrazinyl;2-ACETYLPYRAZINE;Methyl pyrazin-2-yl ketone;Ethanone,1-pyrazinyl;methyl 2-pyrazinyl ketone;1-pyrazin-2-yl-ethanone;1-Pyrazinylethanone;Acetylpyrazine;1-Pyrazin-2-ylethan-1-one;
CAS號 22047-25-2
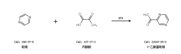
合成路線:
1.通過吡嗪和丙酮酸合成2-乙?;拎海章始s97%;

2.通過吡嗪和乙醛合成2-乙?;拎?,收率約50%;

以上合成路線僅供參考