基本信息:
中文名稱 2,2''-聯(lián)吡啶-4,4''-二甲酸
中文別名 2,2’-聯(lián)吡啶-4,4’-二羧酸;2,2''-二吡啶基-4,4''-二羧酸;4.4''-二羥基-2,2''-聯(lián)吡啶;2,2''-聯(lián)吡啶-4,4''-二羧酸;2,2-聯(lián)吡啶-4,4-二甲酸;2,2''-聯(lián)異煙酸;
英文名稱 2,2''-Bipyridine-4,4''-dicarboxylic acid
英文別名 2-(4-carboxypyridin-2-yl)pyridine-4-carboxylic acid;
CAS號 6813-38-3
合成路線:
1.通過2,2''-聯(lián)吡啶-4,4''-二甲酸甲酯合成2,2''-聯(lián)吡啶-4,4''-二甲酸,收率約95%;

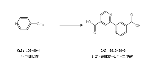
2.通過4-甲基吡啶合成2,2''-聯(lián)吡啶-4,4''-二甲酸

中華試劑網(wǎng)提醒:合成路線僅供參考