基本信息:
中文名稱 2,2,6,6-四甲基-3,5-庚二酮
中文別名 四甲基庚二酮;雙(三甲基乙?;?甲烷;二新戊酰甲烷;2,2,6,6-四甲基-3,5-庚烷二酮;二叔戊酰甲烷;
英文名稱 2,2,6,6-Tetramethyl-3,5-Heptanedione
英文別名 2,2,6,6-Tetramethylheptane-3,5-dione;2,2,6,6-tetramethylheptane-3,5-dione;2,2,6,6-Tetramethyl-3,5-heptanedione;DipivaloylMethane;
CAS號 1118-71-4
合成路線:
1.通過頻哪酮和三甲基乙酸甲酯合成2,2,6,6-四甲基-3,5-庚二酮,收率約63%;

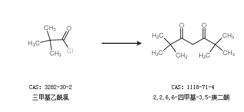
2.通過三甲基乙酰氯合成2,2,6,6-四甲基-3,5-庚二酮

中華試劑網提醒 合成路線僅供參考