基本信息:
中文名稱 4-溴-4'',4''''-二甲基三苯胺
中文別名 4-溴-4’,4’’-二甲基三苯胺;
英文名稱 4-Bromo-4'',4''''-dimethyltriphenylamine
英文別名 N-(4-bromophenyl)-4-methyl-N-(4-methylphenyl)aniline;
CAS號 58047-42-0
合成路線:
1.通過4,4''-二甲基三苯胺合成4-溴-4'',4''''-二甲基三苯胺,收率約73%;

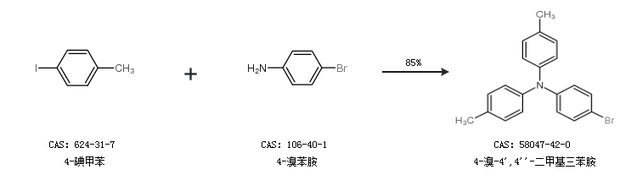
2.通過4-碘甲苯和4-溴苯胺合成4-溴-4'',4''''-二甲基三苯胺,收率約85%;

合成路線僅供參考